%@LANGUAGE="JAVASCRIPT" CODEPAGE="1252"%>
NOR: SOCU0611882A
Le ministre de l'emploi, de la cohésion sociale et du logement, le ministre de l'économie, des finances et de l'industrie et le ministre délégué à l'industrie,
Vu la directive 2002/91/CE du Parlement européen et du Conseil en date du 16 décembre 2002 sur la performance énergétique des bâtiments ;
Vu le code de la construction et de l'habitation, notamment ses articles R. 134-1 à R. 134-5 ;
Vu l'arrêté du 15 septembre 2006 relatif au diagnostic de performance énergétique pour les bâtiments proposés à la vente, Arrêtent :
Article 1
Les dispositions du présent arrêté sont prises pour l'application des dispositions des articles R. 134-1 à R. 134-5 du code de la construction, à l'exception des départements d'outre-mer.
Article 2
Lorsque la personne chargée d'établir le diagnostic utilise, dans les conditions déterminées aux paragraphes 3 (a) des articles 3, 9 et 12 de l'arrêté relatif au diagnostic de performance énergétique des bâtiments proposés à la vente, une méthode conventionnelle, celle-ci doit :
- soit être une de celles mentionnées à l'annexe 1 du présent arrêté et mises à sa disposition ;
- soit être une des méthodes européennes définies par le Comité européen de normalisation ;
- soit respecter le cahier des charges des méthodes explicitant le contenu des conventions unifiées défini en annexe 4 du présent arrêté et avoir fait l'objet d'une déclaration préalable au ministre en charge de la construction dans les conditions définies par l'article 3 du présent arrêté.
La personne chargée de l'élaboration du diagnostic utilise alors une de ces méthodes en respectant les conditions définies en annexe 2.
Article 3
I. - Le concepteur d'une méthode conventionnelle fait parvenir, par lettre recommandée avec accusé de réception, au ministre en charge de la construction une déclaration accompagnée du dossier respectant les conditions visées à l'annexe 3 du présent arrêté.
Si le dossier est incomplet, le ministre en charge de la construction invite le demandeur, par lettre recommandée avec accusé de réception postal et dans le mois suivant la réception de la demande, à fournir les pièces complémentaires.
Le délai de réception de la demande commence alors à courir à compter de la réception des pièces complétant le dossier.
Si, au vu du dossier fourni à l'appui de la déclaration, la méthode respecte les conditions fixées dans le cahier des charges défini en annexe 4, une lettre de non-opposition est adressée par le ministre en charge de la construction dans les deux mois à compter de la date où le dossier est déclaré complet. Cette lettre est envoyée en recommandé avec accusé de réception.
Le nom de la méthode et celui du concepteur font alors l'objet d'un avis de publication au Journal officiel.
Si la méthode fait l'objet d'une diffusion sous forme de logiciel, les coordonnées du ou des éditeurs diffusant la méthode seront précisées dans cet avis ainsi que le nom du ou des logiciels correspondants.
II. - Si, au vu du dossier fourni à l'appui de la déclaration, la méthode ne respecte pas les conditions fixées dans le cahier des charges, le ministre en charge de la construction fait connaître son opposition au déclarant.
Le silence gardé pendant plus de deux mois par le ministre en charge de la construction à compter de la date où le dossier est déclaré complet vaut décision implicite d'opposition.
III. - Si le concepteur souhaite apporter des modifications à sa méthode, il respecte les conditions fixées par le présent article.
Article 4
Le directeur général de l'urbanisme, de l'habitat et de la construction et le directeur général de l'énergie et des matières premières sont chargés, chacun en ce qui le concerne, de l'exécution du présent arrêté, qui sera publié au Journal officiel de la République française.
Fait à Paris, le 15 septembre 2006.
A N N E X E S
A N N E X E 1
MÉTHODES CONVENTIONNELLES DE CALCUL MISES À DISPOSITION DES PERSONNES CHARGÉES D'ÉTABLIR LES DIAGNOSTICS DE PERFORMANCE ÉNERGÉTIQUE (DPE)
Une méthode annuelle simplifiée, dite 3CL-DPE, est mise à disposition. Le contenu de cette méthode est défini par arrêté des ministres en charge de la construction et de l'énergie.
Deux méthodes de simulation dynamique, à pas de temps horaire, dites DEL6-DPE et Comfie-DPE, sont mises à disposition.
Le contenu de ces méthodes est défini par arrêté des ministres en charge de la construction et de l'énergie.
A N N E X E 2
CONDITIONS D'UTILISATION
DES MÉTHODES DE CALCUL CONVENTIONNEL
La personne établissant le diagnostic de performance énergétique et utilisant une des méthodes définies à l'article 2 doit entrer les données suivantes :
1. Données d'entrée :
Les calculs d'estimation des consommations énergétiques doivent a minima considérer les données d'entrée suivantes :
- la superficie des surfaces chauffées du bâtiment ou du lot, selon le cas, et la superficie des parois extérieures du bâtiment ou du lot ;
- les déperditions thermiques par l'enveloppe (parties courantes et ponts thermiques), sur la base des coefficients de transmission thermique et les surfaces des parois translucides ou transparentes en contact avec l'extérieur ou avec des locaux non chauffés ;
- l'influence de la mitoyenneté avec d'autres bâtiments, des circulations, des locaux susceptibles d'être non chauffés (caves, garages, sous-sols), des vides sanitaires ou avec le terrain naturel ;
- l'influence de l'orientation ;
- les dimensions réelles des baies et leurs caractéristiques solaires ;
- l'inertie thermique ;
- la protection solaire des baies ;
- le débit de renouvellement d'air évalué en fonction du mode de ventilation du bâtiment (naturelle, ventilation mécanique contrôlée) et du niveau d'étanchéité à l'air des locaux ;
- la présence d'un échangeur de chaleur sur l'air ;
- les caractéristiques des systèmes de chauffage (chauffage des locaux et ECS) et de refroidissement (émission, distribution, génération).
2. Données de sortie :
La méthode de calcul estime les consommations d'énergie pour les usages suivants :
- chauffage ;
- eau chaude sanitaire ;
- refroidissement.
A N N E X E 3
CONTENU DU DOSSIER DE DÉCLARATION
D'UNE MÉTHODE DE CALCUL CONVENTIONNEL
Nom de la méthode
Le concepteur de la méthode précisera le nom de la méthode. Celui-ci devra figurer dans tous les documents, logiciels et moyens de communication relative à sa description, son utilisation ou sa promotion. Si le concepteur souhaite ultérieurement utiliser les dispositions du chapitre « Gestion des modifications », il est recommandé d'indiquer un numéro de version dès l'origine.
Champ d'application
Le concepteur de la méthode doit indiquer clairement les limites du champ d'application de sa méthode (par exemple, maisons individuelles seulement, degré de prise en compte de techniques innovantes, du bioclimatique, des énergies renouvelables).
Description de la méthode
Le concepteur de la méthode fournira un document sous format électronique décrivant sous forme algorithmique l'intégralité de la méthode. Cette description doit permettre à un utilisateur d'appliquer la méthode ou à un éditeur de logiciel de créer un logiciel d'application. S'il est fait référence dans les méthodes à des sources externes, celle-ci devront être disponibles et la façon de se les procurer précisée.
Exemples de cas
Pour chaque type d'utilisation couvert par la méthode et chaque type d'énergie de chauffage, à savoir l'électricité, le chauffage au gaz, au fuel, au bois, un cas de bâtiment sera décrit en termes d'entrées et de résultats, et ce au minimum pour quatre localisations différentes, situées dans le département de la Seine-Saint-Denis (93), dans le département de l'Hérault (34), dans le département de la Haute-Savoie (74) et dans le département de la Charente-Maritime (17). En effet, le cahier des charges des méthodes inclut des données climatiques par département. Ces exemples ont en particulier pour objet de permettre à un utilisateur ou à un éditeur de logiciel de vérifier qu'il fait une utilisation correcte de la méthode décrite sous forme algorithmique.
Diffusion de logiciel
Si la méthode fait l'objet d'une diffusion sous forme de logiciel, les coordonnées du ou des éditeurs diffusant la méthode seront précisées ainsi que le nom du ou des logiciels correspondants.
Justification de la pertinence de la méthode
Le concepteur précisera les éléments permettant de justifier de la pertinence de la méthode relativement aux champs visés. Pour cette partie, le seul élément justificatif requis est celui relatif au respect des conditions d'usage conventionnel tel que figurant dans le DPE. Les autres éléments de justification sont laissés à l'initiative du concepteur de la méthode.
Gestion des modifications
Un concepteur de méthode peut proposer des modifications. La procédure à suivre est alors la suivante :
1. Fourniture de l'ensemble des éléments relatifs à la méthode modifiée, celle-ci devant être identifiable, par exemple par ajout d'un numéro de version ;
2. Document précisant les changements par rapport à la version antérieure.
A N N E X E 4
CAHIER DES CHARGES
DES MÉTHODES DE CALCUL CONVENTIONNEL
1. Généralités
1.1. Objet du document
L'objet de ce document est de définir des conventions unifiées pour le calcul des consommations d'énergie finales en secteur résidentiel pour les bâtiments existants.
Les consommations visées sont les suivantes :
1. Consommations de chauffage hors auxiliaires.
2. Consommations d'ECS hors auxiliaires.
3. Consommations de refroidissement hors auxiliaires.
Commentaire : les conventions de calcul pour l'énergie primaire et le contenu CO2 sont définis dans les textes réglementaires et les facteurs de conversion PCS PCI ci-après :
1.2. Facteur de conversion PCS PCI
Gaz naturel : consommation PCS = 1,11 consommation PCI.
GPL : consommation PCS = 1,09 consommation PCI.
Fioul : consommation PCS = 1,07 consommation PCI.
Charbon : consommation PCS = 1,04 consommation PCI.
2. Méthodes annuelles
2.1. Données climatiques
Elles sont données par département et tiennent compte de l'altitude.
Les degrés-heures sont égaux à la somme, pour toutes les heures de la saison de chauffage pendant laquelle la température extérieure est inférieure à 18 °C, de la différence entre 18 °C et la température extérieure. Ils prennent en compte une inoccupation d'une semaine par an pendant la période de chauffe ainsi qu'un réduit des températures à 16 °C pendant la nuit de 22 heures à 6 heures.
Les degrés-heures annuels se déterminent de la façon suivante :
DHcor = (Dhref + ((Nref / C2) + 5) x dN)/1000
Si C4 = - ; C2 = 340 sinon C2 = 400
dN = C3 x altitude (m).
Les données Dhref, Nref, C2, C3, C4 sont précisées par département dans les tableaux pages suivantes.
2.2. Conventions comportementales
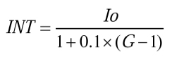
2.2.1. Coefficient d'intermittence

Io = 0.85.
G = déperditions par les parois + déperditions par renouvellement d'air / volume du logement.
G : W/m³.K.
2.2.2. Besoins d'ECS
Pour SH 27 m² : Qecs = 17.7 x SH
Pour SH 27 m² : Qecs = 470.9 x Ln (SH) - 1 075
Qecs en litre d'eau à 40 °C par m² habitable et par semaine.
Zone climatique |
TEF |
H1 H2 H3 |
10,5 12 14,5 |
Les zones climatiques H1, H2 et H3 sont définies dans le tableau précédent.
Becs = 1.163 x Qecs x (40 - Tef) x 48 / 1000
Becs en kWh/m² habitable par an.

2.2.3. Débits de renouvellement d'air

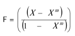
2.2.4. Apport internes et solaires récupérés
Le taux de couverture d'apports gratuits est défini de la façon suivante :

Zone climatique : les localités situées à plus de 800 mètres d'altitude sont en zone H1 lorsque leur département est indiqué comme étant en zone H2 et en zone H2 lorsque leur département est indiqué comme étant en zone H3. Valeurs de Hx au § 2.1.
Inertie moyenne : m = 2.9.
Inertie lourde : m = 3.6.
Pour déterminer l'inertie du bâtiment, se reporter au fascicule Th-I des règles Th-bat.
Avec X =

Sse : 0.045 si vitrage sud dégagé / 0.028 dans les autres cas.

Sse : 0.030 si vitrage sud dégagé / 0.023 dans les autres cas.
Vitrage sud dégagé :
1. Les parois vitrées orientées du sud-est au sud-ouest ont une surface totale au moins égale au neuvième de la surface habitable de l'appartement ;
2. Pour ces parois, les obstacles sont « vus » sous un angle inférieur à 15°.
E = Pref x Nref/1 000 (selon méthode DEL.2), par département - Ensoleillement (kWh/m²).
2.3. Calculs des consommations de chauffage

avec :
Bch = GV x (1 - F) x Dhcor.
GV = déperditions par les parois + déperditions par renouvellement d'air.
Déperditions par les parois : W/K.
Déperditions par renouvellement d'air : W/K déterminées à partir de 2.2.3.
Si chauffage solaire :

2.4. Efficacité des systèmes
2.4.1. Chauffage
Rd = « rendement » de distribution ; Rg = « rendement » de génération.
Re = « rendement » d'émission ; Rr = « rendement » de régulation.
Les rendements sont indiqués sur PCS.
Les rendements de génération sont définis en valeurs sur PCS.
Maison individuelle :

Immeuble collectif :


Pour les chaudières (*) :
Si Bch < 2000, Corch = 1.7 - 6 x 10-4 x Bch.
Si 2000 < Bch < 6000, Corch = 0.75 - 1.25 x 10-4 x Bch,
sinon, Corch = 0.
Si programmateur Pg = 0.97, sinon Pg = 1.

2.4.2. Eau chaude sanitaire
Rs = rendement de stockage ; Rd = rendement de distribution.
Rg = rendement de génération.
Les rendements sont indiqués sur PCS.
Maison individuelle :

Immeuble collectif :

En ECS collective, pour une boucle isolée, remplacer Rd par 0,75.
2.4.3. Refroidissement
Cclim = Rclim x Sclim.
Calcul de Cclim.
Maison individuelle :
Calcul de Rclim :

Climatisation (rafraîchissement) individuelle en immeuble collectif :
Cclim = Rclim x Sclim x CORclim
Calcul de Rclim :

2.4.4. Energie solaire
2.4.4.1. Energie solaire thermique
Facteur de couverture solaire par défaut (Fecs) :
ECS solaire en maison individuelle

ECS solaire en immeuble collectif

Chauffage et ECS solaire
(maison individuelle uniquement)


2.4.4.2. Energie solaire photovoltaïque
Production d'électricité par des capteurs photovoltaïques (Ppv) :
Ppv = 100 x Scapteurs (kWh/an).
3. Méthodes horaires
3.1. Données climatiques
Pour chaque zone climatique, les données sont constituées d'une année météorologique complète sur une base horaire. Les données sont les suivantes :
IDn : rayonnement direct normal exprimé en W/m².
Idf : rayonnement diffus horizontal exprimé en W/m².
uei : température extérieure exprimée en °C.
Teiciel : température du ciel exprimée en °C.
wei : humidité spécifique de l'air exprimée en kg/kgas.
Ve : vitesse du vent exprimée en ms-¹.
ucw : température d'eau froide exprimée en °C.
Les fichiers contenant les données météorologiques annuelles de référence au pas horaire sont disponibles au CSTB sous l'intitulé « données météorologiques de référence Th-CE 2005 ».
Le zonage et les corrections d'altitude sont celles de la méthode de calcul Th-CE 2005.
3.2. Conventions comportementales
3.2.1. Températures de consigne
Les températures de consigne sont celles des ThC 2005. Si des vacances sont prises en compte, on considère une semaine de vacance pendant la saison de chauffe, début février, et deux semaines en été, fin juillet-début août.
Le point de consigne est corrigé par la formule suivante :
dTcfd = - max(0,0.5 (Depshon - 1))
avec :
dTcfd (valeur négative en K) correction de température de consigne pour les bâtiments anciens peu isolés.
Depshon : déperditions statiques (parois et ventilation) en W/(K.m²SHON).
3.2.2. Besoins d'ECS
Le volume d'eau mitigée pour une heure donnée, en fonction de l'usage (résidentiel...) correspond à la valeur donnée dans les règles Th-CE 2005, chapitre 10.
3.2.3. Détermination des saisons de chauffage et de refroidissement
Elles sont calculées si besoin est conformément au paragraphe 6.4 de la méthode de calcul Th-CE 2005.
3.2.4. Utilisation de la ventilation et de l'ouverture des fenêtres
S'ils sont utilisés, les scénarios d'utilisation des systèmes mécaniques sont ceux de la méthode Th-CE 2005. Sinon, les valeurs de la méthode annuelle sont considérées.
3.2.5. Consommation d'énergie et appports internes
pour les autres usages
Les apports internes d'éclairage peuvent être soit calculés conformément à la méthode Th-CE 2005, soit être pris conventionnellement égaux à 2 W/m² de 7 heures à 9 heures et de 20 heures à 22 heures, hors périodes de vacances.
Les autres apports internes sont ceux de la méthode Th-CE 2005, paragraphes 6.3, et pris nuls pendant les vacances tels que définis au paragraphe point de consigne.
3.3. Calcul des consommations de chauffage
Les consommations de chauffage sont calculées à partir des besoins de chauffage et par application de rendements de distribution et de génération. Les rendements d'émission peuvent être pris en compte soit par un rendement, soit par une variation de température (dans ce dernier cas, l'impact est pris en compte dans les besoins).
Les besoins de chauffage sont calculés sur un pas de temps horaire. La méthode de calcul doit prendre en compte entre autres les apports solaires par les baies et les parois opaques, l'impact des apports internes et d'éclairage, les déperditions et l'inertie du bâtiment.
Les besoins de chauffage calculés selon la zone climatique peuvent être corrigés pour un département donné au prorata des valeurs Dhref du paragraphe 2.1 Données climatiques.
3.4. Efficacité des systèmes
3.4.1. Chauffage
3.4.1.1. Rendement d'émission et de régulation
L'approche rendement se fait en appliquant les valeurs de la méthode annuelle.
L'approche variation de température se fait conformément aux règles Th-CE 2005.
3.4.1.2. Rendement de distribution
On applique les valeurs de la méthode annuelle.
3.4.1.3. Rendement de génération
On applique les valeurs de la méthode annuelle.
3.4.2. Eau chaude sanitaire
3.4.2.1. Rendement de distribution
On applique les valeurs de la méthode annuelle.
3.4.2.2. Rendement de génération
On applique les valeurs de la méthode annuelle.
3.4.3. Refroidissement
On applique un rendement global (émission distribution génération) de 1,5.
3.4.4. Energie solaire
3.4.4.1. Energie solaire thermique
On applique le calcul défini dans la méthode annuelle ou un calcul par simulation avec un pas de temps horaire.
3.4.4.2. Energie solaire photovoltaïque
On applique le calcul défini dans la méthode annuelle ou un calcul par simulation avec un pas de temps horaire.